இடுகை விளம்பரம்
සිංහල
|
தமிழ்
|
English
ஆன்லைன் வகுப்புகள்
ஒன்லைன் வகுப்புக்களை
வகைகள் மூலமான தேடல்
ஆசிரியர்கள் / ல்வி நிறுவனங்கள்
ஆசிரியர் தொழில்கள்
உற்பத்தி மற்றும் சேவைகள்
இருப்பிடத்தின் அடிப்படையில் தேடவும்
ஆசிரியர்கள் / ல்வி நிறுவனங்கள்
ஆசிரியர் தொழில்கள்
உற்பத்தி மற்றும் சேவைகள்
கடந்தகால வினாத்தாள்கள்
சாதாரண நிலை (சா/த)
உயர்தரம் (உ/த)
மற்றவை
வலைப்பதிவு
கேள்வி ஒன்றினைக் கேட்கவும்
கேள்விகளைப் பார்வையிடவும்
விழிப்பூட்டல்கள் மற்றும் கல்விச் செய்திகள்
தேடல் பொறி, கடந்தகால வினாத்தாள்கள் மற்றும் விடைகள், வலைப்பதிவு
ஆன்லைன் பயிற்சி வகுப்புகள்
ஒன்லைன் வகுப்புக்களை
வகைகள் மூலமான தேடல்
ஆசிரியர்கள் / ல்வி நிறுவனங்கள்
ஆசிரியர் தொழில்கள்
உற்பத்தி மற்றும் சேவைகள்
இருப்பிடத்தின் அடிப்படையில் தேடவும்
ஆசிரியர்கள் / ல்வி நிறுவனங்கள்
ஆசிரியர் தொழில்கள்
உற்பத்தி மற்றும் சேவைகள்
கடந்தகால வினாத்தாள்கள்
சாதாரண நிலை (சா/த)
உயர்தரம் (உ/த)
மற்றவை
வலைப்பதிவு
கேள்வி ஒன்றினைக் கேட்கவும்
கேள்விகளைப் பார்வையிடவும்
விழிப்பூட்டல்கள் மற்றும் கல்விச் செய்திகள்
සි த E
සිංහල
தமிழ்
English
இடுகை விளம்பரம்
இடுகை விளம்பரம்
සිංහල
|
தமிழ்
|
English
ஆசிரியர்கள் / ல்வி நிறுவனங்கள்
ஆசிரியர் தொழில்கள்
உறபத்திகள் / சேவைகள்
முகப்பு
>
கடந்தகால வினாத்தாள்கள்
>
கடந்த தேர்வுத் தாளைத் தேர்ந்தெடுக்கவும்
> கடந்தகால பரீட்சைத் தாள்களை பார்வையிட
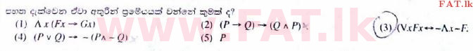
உள்ளூர் பாடத்திட்டம் : உயர்தரம் (உ/த) அளவையியலும் விஞ்ஞானமுறையும் - 2017 ஆகஸ்ட் - தாள்கள் I (සිංහල மொழிமூலம்)
கேள்வியொன்றினைத் தெரிவு செய்யுங்கள்
0
1
2
3
4
5
6
7
8
9
10
11
12
13
14
15
16
17
18
19
20
21
22
23
24
25
26
27
28
29
30
31
32
33
34
35
36
37
38
39
40
41
42
43
44
45
46
47
48
49
50
தெரிவுசெய்யப்பட்ட கேள்வி: 39
முந்தைய கேள்வி
அடுத்த கேள்வி
Advertise Here