දැන්වීමක් පළ කරන්න
සිංහල
|
தமிழ்
|
English
මාර්ගගත පන්ති
මාර්ගගත පන්ති
ප්රවර්ගය අනුව සොයන්න
ගුරුවරු / අධ්යාපන ආයතන
රැකියා පුරප්පාඩු
භාණ්ඩ හා සේවා
ස්ථානය අනුව සොයන්න
ගුරුවරු / අධ්යාපන ආයතන
රැකියා පුරප්පාඩු
භාණ්ඩ හා සේවා
පසුගිය ප්රශ්න පත්ර
සාමාන්ය පෙළ (O/L)
උසස් පෙළ (A/L)
වෙනත්
බ්ලොග් අඩවිය
ප්රශ්නයක් අහන්න
අන් අය ඇසූ ප්රශ්න සහ පිළිතුරු බලන්න
අධ්යාපනික පුවත්
සෙවුම් යන්ත්ර, විභාග ප්රශ්න පත්ර සහ බ්ලොග් අඩවිය
ඔන්ලයින් උපකාරක පන්ති
මාර්ගගත පන්ති
ප්රවර්ගය අනුව සොයන්න
ගුරුවරු / අධ්යාපන ආයතන
රැකියා පුරප්පාඩු
භාණ්ඩ හා සේවා
ස්ථානය අනුව සොයන්න
ගුරුවරු / අධ්යාපන ආයතන
රැකියා පුරප්පාඩු
භාණ්ඩ හා සේවා
පසුගිය ප්රශ්න පත්ර
සාමාන්ය පෙළ (O/L)
උසස් පෙළ (A/L)
වෙනත්
බ්ලොග් අඩවිය
ප්රශ්නයක් අහන්න
අන් අය ඇසූ ප්රශ්න සහ පිළිතුරු බලන්න
අධ්යාපනික පුවත්
සි த E
සිංහල
தமிழ்
English
දැන්වීමක් පළ කරන්න
දැන්වීමක් පළ කරන්න
සිංහල
|
தமிழ்
|
English
ගුරුවරු / අධ්යාපන ආයතන
රැකියා පුරප්පාඩු
භාණ්ඩ හා සේවා
මුල් පිටුව
>
පසුගිය ප්රශ්න පත්ර
>
ප්රශ්න පත්රය තෝරන්න
> විභාග ප්රශ්න පත්රය බලන්න
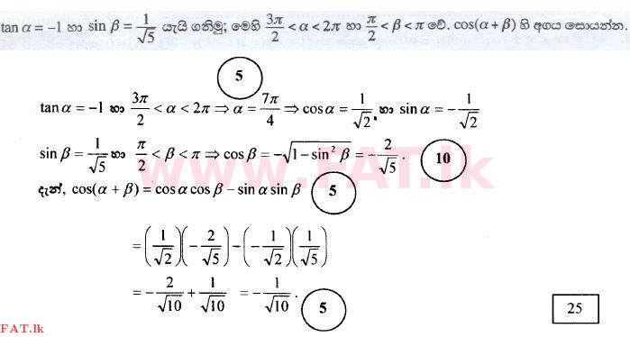
දේශීය විෂය නිර්දේශය : උසස් පෙළ (A/L) සංයුක්ත ගණිතය - 2014 අගෝස්තු - ප්රශ්න පත්රය I (සිංහල මාධ්යය)
පිළිතුරු සමග
ප්රශ්නයක් තෝරන්න
0
1
2
3
4
5
6
7
8
9
10
11
12
13
14
15
16
17
ඔබ තේරූ ප්රශ්නය: 10
නිවැරදි පිළිතුර පෙන්වන්න
පෙර ප්රශ්නය
පසු ප්රශ්නය
Advertise Here