Post Free AD
සිංහල
|
தமிழ்
|
English
Online classes
Online Classes
Search by Category
Teachers / Institutes
Teaching jobs
Products & Services
Search by Location
Teachers / Institutes
Teaching jobs
Products & Services
Past Exam Papers
Ordinary Level (O/L)
Advanced Level (A/L)
Other
Blog
Ask a question
View questions and answers
Alerts and Educational News
Search Options, Past Exam Papers and The Blog
Online Tuition Classes
Online Classes
Search by Category
Teachers / Institutes
Teaching jobs
Products & Services
Search by Location
Teachers / Institutes
Teaching jobs
Products & Services
Past Exam Papers
Ordinary Level (O/L)
Advanced Level (A/L)
Other
Blog
Ask a question
View questions and answers
Alerts and Educational News
සි த E
සිංහල
தமிழ்
English
Post Free AD
Post Free AD
සිංහල
|
தமிழ்
|
English
Teachers / Institutes
Teaching jobs
Products / Services
Home
>
Past Exam Papers
>
Select Past Paper
> View past exam paper
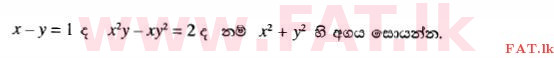
National Syllabus : Ordinary Level (O/L) Mathematics - 2014 December - Paper I (සිංහල Medium)
With Answers
Select a question
0
1
2
3
4
5
6
7
8
9
10
11
12
13
14
15
16
17
18
19
20
21
22
23
24
25
26
27
28
29
30
31
32
33
34
35
Selected question: 28
Click to find answer
Previous Question
Next Question
Advertise Here