Post Free AD
සිංහල
|
தமிழ்
|
English
Online classes
Online Classes
Search by Category
Teachers / Institutes
Teaching jobs
Products & Services
Search by Location
Teachers / Institutes
Teaching jobs
Products & Services
Past Exam Papers
Ordinary Level (O/L)
Advanced Level (A/L)
Other
Blog
Ask a question
View questions and answers
Alerts and Educational News
Search Options, Past Exam Papers and The Blog
Online Tuition Classes
Online Classes
Search by Category
Teachers / Institutes
Teaching jobs
Products & Services
Search by Location
Teachers / Institutes
Teaching jobs
Products & Services
Past Exam Papers
Ordinary Level (O/L)
Advanced Level (A/L)
Other
Blog
Ask a question
View questions and answers
Alerts and Educational News
සි த E
සිංහල
தமிழ்
English
Post Free AD
Post Free AD
සිංහල
|
தமிழ்
|
English
Teachers / Institutes
Teaching jobs
Products / Services
Home
>
Past Exam Papers
>
Select Past Paper
> View past exam paper
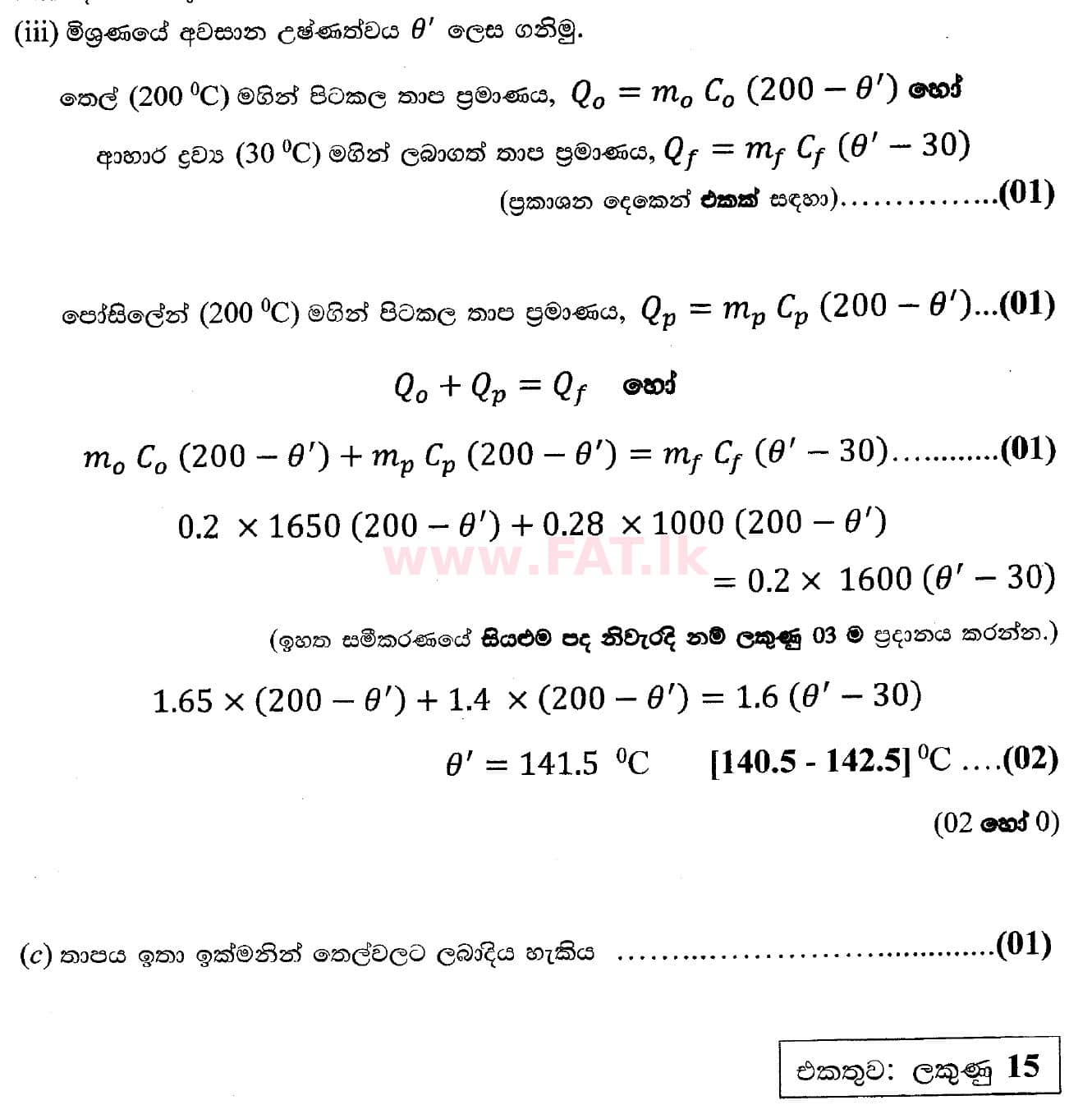
National Syllabus : Advanced Level (A/L) Physics - 2018 August - Paper II (සිංහල Medium)
With Answers
Select a question
0
1
2
3
4
5
6
7
8
9
10
Selected question: 10
Click to find answer
Previous Question
Advertise Here